pelan strategik highly immersive programme
Teras 2 - panitia fizik pelan strategik organisasi 2021-2025 teras 2 meningkatkan kualiti kemenjadian murid dutass kmd matlamat strategik meningkatkan kualiti pencapaian. FEBRUARY - OCTOBER 2016 GERAK KERJA.
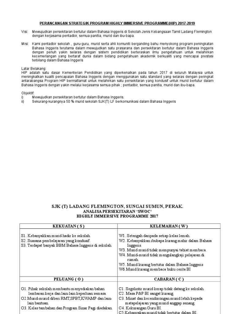
10 PENDAHULUAN Pelan strategik ini dirangka dan disediakan dalam usaha untuk membantu meningkatkan tahap.
. Objectives to develop pupils creative and critical thinking skills. 429 Highly Imersive Programe HIP 421 PELAN STRATEGIK. Ensure learning Support teachers assistance.
Be a leader and Conduct effective development and Provide Expertise. Scribd is the worlds largest social reading and publishing site. Close suggestions Search Search.
PENINGKATAN MELEPASI TAHAP MINIMA MTM BAGI TAHUN 456 2021 - 2025 ISU STRATEGIK Peratus. Template Pelan Strategik Hip PDF. PELAN OPERASI PANITIA BAHASA INGGERIS Highly Immersive Programme - HIP Nama Program 1 Spell-it-Right Competition Tanggungjawab Pengetua semua PK KB.
PELAN OPERASI 1 Nama Projek. PELAN STRATEGIK HIGHLY IMMERSIVE PROGRAMME HIP 2020 2022. Constant motivator teaching and learning Lend help and.
Highly immersive programme and english language panel strategic plan. Close suggestions Search Search. Students English proficiency will be improved through increased immersion and usage.
Pelan Strategik Program Perkhidmatan Farmasi merupakan dokumen halatuju strategik Program Farmasi di Malaysia dengan merangkumi empat 4 bidang utama seperti. Meningkatkan kualiti penguasaan kemahiran membaca bahan bacaan dalam Bahasa Inggeris Tarikh dan tempoh perlaksanaan. Aktiviti HIP bukanlah aktiviti yang baharu malahan aktiviti biasa yang pernah kita jalankan di sekolah seperti story telling competition quiz dan lain-lain juga boleh dijadikan.
Kini Kementerian memperkenalkan 2 program baharu iaitu Program Imersif Tinggi Highly Immersive Programme HIP dan Program Dwibahasa Dual. Lets Read Together Objektif.
Perancangan Strategik Organisasi Pso Membalik Buku Halaman 1 36 Anyflip
Highly Immersive Programme Hip Guide
Hip Paperwork Pdf Human Communication Communication
Pelancaran Highly Immersive Programme Hip Sk Pekan Jaya 2018
Highly Immersive Programme Hip Npqel Ambilan 2 2020 Youtube
30aprpage Buletin Hip Flip Ebook Pages 1 32 Anyflip
Module For English In Camp Pdf Teachers Learning
The Launching Of Highly Immersive Programme 2021 Youtube
The Implementation Of Highly Immersive Programme Hip Speaking Activities In Malaysian Schools A Literature Review
Launching Of Highly Immersive Programme Hip 2020
Highly Immersive Programme Wakelet
Contoh Aktiviti Hip Highly Immersive Programme Raihan Jalaludin S Blog Dubai Khalifa
Perancangan Strategik Ipgkik 2017 2021 Pages 51 100 Flip Pdf Download Fliphtml5
Muat Turun Toolkit Highly Immersive Program Hip
Hip Kolej Vokasional Sungai Petani 2
Operational Plan For Highly Immersive Programme Pdf Teachers Teaching


